Mechanism and Reactions of Vanadium(V)_Oxide
Vanadium(V) oxide (V2O5) exhibits rich redox chemistry due to the ability of vanadium to access multiple oxidation states. The mechanism of its redox reactions and catalytic behavior can be explained as follows:
- Redox Reactions
Reduction to Vanadium(IV) Oxide (VO2)
In acidic conditions, V2O5 can be reduced to vanadium(IV) oxide (VO2) by accepting electrons from a reducing agent. This reaction proceeds via the formation of the dioxovanadium(V) cation (VO2+) as an intermediate:
V2O5 + 2H+ → 2VO2+ + H2O
VO2+ + 2H+ + e- → VO2+ + H2O (E° = +1.00 V vs. SHE)
VO2+ + 2H+ + e- → V3+ + H2O (E° = +0.34 V vs. SHE)
V3+ + e- → V2+ (E° = -0.26 V vs. SHE)
The VO2+ cation is a strong oxidizing agent and can be further reduced to vanadium(IV) (VO2+) and then to vanadium(III) (V3+) and vanadium(II) (V2+) by accepting more electrons from the reducing agent. [1]
- Reduction to Vanadium(III) Oxide (V2O3)
In strongly reducing conditions, V2O5 can be further reduced to vanadium(III) oxide (V2O3) by accepting more electrons:
V2O5 + 4H+ + 2e- → 2V3+ + 3H2O
2V3+ + 2e- → 2V2+
The vanadium(III) and vanadium(II) species are relatively unstable and can be readily oxidized back to higher oxidation states by atmospheric oxygen or other oxidizing agents. [1]
- Catalytic Behavior
Oxidation of Sulfur Dioxide (Contact Process)
In the Contact Process for the production of sulfuric acid, V2O5 acts as a catalyst for the oxidation of sulfur dioxide (SO2) to sulfur trioxide (SO3):
2SO2 + O2 → 2SO3 (Catalyzed by V2O5)
- The mechanism involves the following steps:
V2O5 is reduced by SO2 to form vanadium(IV) oxide (VO2) and SO3.
VO2 is then re-oxidized by molecular oxygen to regenerate V2O5, completing the catalytic cycle.
The ability of vanadium to cycle between the +5 and +4 oxidation states is crucial for this catalytic process. [1]
- Other Oxidation Reactions
Vanadium(V) oxide can also catalyze other oxidation reactions, such as the conversion of toluene to benzonitrile, propylene to acrylonitrile, and the epoxidation of alkenes and allylic alcohols. The mechanisms often involve the formation of vanadium-oxo species as reactive intermediates, which can activate and transfer oxygen atoms to the organic substrates. [2]
The amphoteric nature of V2O5 allows it to form various oxovanadium species in acidic or basic conditions, which can participate in different catalytic cycles and exhibit diverse reactivity patterns.[3] The ability to access multiple oxidation states and form reactive oxo-species makes vanadium(V) oxide a versatile catalyst for various oxidation reactions in organic synthesis and industrial processes.
- Krakowiak, J., Lundberg, D., & Persson, I. (2012). A coordination chemistry study of hydrated and solvated cationic vanadium ions in oxidation states +III, +IV, and +V in solution and solid state. Inorganic chemistry, 51(18), 9598–9609. https://doi.org/10.1021/ic300202f, A coordination chemistry study of hydrated and solvated cationic vanadium ions in oxidation states +III, +IV, and +V in solution and solid state.(2012).
- Ferraz-Caetano, J., Teixeira, F., & Cordeiro, M. N. D. S. (2023). Systematic Development of Vanadium Catalysts for Sustainable Epoxidation of Small Alkenes and Allylic Alcohols. International journal of molecular sciences, 24(15), 12299. https://doi.org/10.3390/ijms241512299, Systematic Development of Vanadium Catalysts for Sustainable Epoxidation of Small Alkenes and Allylic Alcohols.(2023).
- Xie, Z., et al., Monomeric Vanadium Oxide: Very Efficient Species for Promoting Aerobic Oxidative Dehydrogenation of N-Heterocycles.New Journal of Chemistry, 2020. 45.
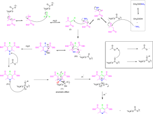
Mechanism of Action of Ammonium Metavanadate

- Catalytic Reactions
In catalytic applications, ammonium metavanadate (NH4VO3) serves as a mild oxidizing agent. Its ability to facilitate the transfer of oxygen atoms is crucial in various chemical reactions, particularly in the synthesis of organic compounds. The vanadium in NH4VO3 can exist in multiple oxidation states, which allows it to participate in redox reactions. This redox versatility is harnessed in catalysis to promote the oxidation of substrates, leading to the formation of desired products.
For instance, NH4VO3 has been reported as an efficient catalyst for the synthesis of substituted pyridines and 1,4-dihydropyridines (1,4-DHPs) through a one-pot pseudo four-component reaction[1]. The study highlighted the role of NH4VO3 in the Hantzsch synthesis, where it facilitates the condensation and cyclization steps leading to the formation of pyridine derivatives. The catalytic action of NH4VO3 in this context is attributed to its ability to activate the carbonyl group of the aldehyde and the methylene group of the β-ketoester, which are key steps in the formation of the pyridine ring[1].
- Biological Systems
In biological systems, the mechanism of action of ammonium metavanadate is quite distinct from its role in catalysis. NH4VO3 can mimic the structure and function of phosphate groups due to the chemical and structural similarities between the vanadate ion (VO3-) and the phosphate ion (PO43-)[2, 3]. This mimicry allows NH4VO3 to interact with biological molecules that typically bind to phosphates, such as enzymes and proteins.
One of the key biological processes where NH4VO3 exerts its effect is the inhibition of protein tyrosine phosphatases (PTPs)[2, 3]. PTPs are enzymes that remove phosphate groups from tyrosine residues in proteins, which is a critical step in the regulation of signal transduction pathways. By mimicking phosphate, NH4VO3 can bind to the active site of PTPs, leading to their inhibition. This inhibition can alter signaling pathways, potentially leading to therapeutic effects.
For example, the inhibition of PTPs by vanadate compounds has been explored for its insulin-mimetic properties, which could be beneficial in the treatment of diabetes[4]. By inhibiting PTPs, NH4VO3 can enhance the phosphorylation of the insulin receptor and downstream signaling molecules, thereby improving insulin sensitivity and glucose uptake in cells[4].
Furthermore, NH4VO3 has been studied for its potential chemopreventive properties in cancer. It has been shown to reduce tumor incidence and size, possibly through the induction of apoptosis and reduction of cell proliferation[2]. The exact mechanisms by which NH4VO3 exerts these effects are complex and may involve the generation of reactive oxygen species (ROS), modulation of gene expression, and interference with cellular signaling pathways[2, 5].
In summary, the mechanism of action of ammonium metavanadate is multifaceted, with its role as a catalyst in chemical reactions being distinct from its biological activities. In catalysis, NH4VO3 acts as a mild oxidizing agent, while in biological systems, it mimics phosphate groups, leading to the inhibition of PTPs and potential therapeutic applications. The versatility of NH4VO3’s mechanisms underscores its significance in both industrial and medical fields.
- Rahimi, J., Niksefat, M., Heidari, M. et al. Ammonium metavanadate (NH4VO3): a highly efficient and eco-friendly catalyst for one-pot synthesis of pyridines and 1,4-dihydropyridines. Sci Rep 12, 13687 (2022). https://doi.org/10.1038/s41598-022-17378-7, Ammonium metavanadate (NH4VO3): a highly efficient and eco-friendly catalyst for one-pot synthesis of pyridines and 1,4-dihydropyridines.(2022).
- Irving, E., & Stoker, A. W. (2017). Vanadium Compounds as PTP Inhibitors. Molecules (Basel, Switzerland), 22(12), 2269. https://doi.org/10.3390/molecules22122269,Vanadium Compounds as PTP Inhibitors. .(2017).
- Dieter Rehder, T.r.o.v.i.b., Metallomics, Volume 7, Issue 5, May 2015, Pages 730–742, https://doi.org/10.1039/c4mt00304g, The role of vanadium in biology, Metallomics.May 2015,.
- Treviño, S., Díaz, A., Sánchez-Lara, E., Sanchez-Gaytan, B. L., Perez-Aguilar, J. M., & González-Vergara, E. (2019). Vanadium in Biological Action: Chemical, Pharmacological Aspects, and Metabolic Implications in Diabetes Mellitus. Biological trace element research, 188(1), 68–98. https://doi.org/10.1007/s12011-018-1540-6,Vanadium in Biological Action: Chemical, Pharmacological Aspects, and Metabolic Implications in Diabetes Mellitus. .(2019).
- Aureliano, M.D.S.-C., A.L.; Dolan, C.C.; Roess, D.A.; Crans, D.C. Biological Consequences of Vanadium Effects on Formation of Reactive Oxygen Species and Lipid Peroxidation. Int. J. Mol. Sci. 2023, 24, 5382. https://doi.org/10.3390/ijms24065382, Biological Consequences of Vanadium Effects on Formation of Reactive Oxygen Species and Lipid Peroxidation.2023.
Chemical Reactions MoO2

Figure 4. schematic representation of MoO2 chemical reactions
Reduction to Metallic Molybdenum
One important reaction of molybdenum dioxide (MoO2) is its reduction to metallic molybdenum. This reduction can be achieved by exposing MoO2 to reducing agents like hydrogen gas at elevated temperatures, typically around 400-800°C[1, 2]. The overall reaction can be represented as:
MoO2 + 2H2 → Mo + 2H2O
The reduction process involves the removal of oxygen atoms from the MoO2 lattice, leading to the formation of pure molybdenum metal. By controlling the reduction temperature, hydrogen flow rate, and reaction time, it is possible to tune the particle size and morphology of the resulting molybdenum[1]. The metallic molybdenum obtained from this reduction has catalytic properties and finds applications in various industrial processes, such as the synthesis of ammonia[1].
Oxidation to Molybdenum Trioxide
Molybdenum dioxide can also undergo oxidation reactions, particularly when exposed to oxidizing environments at high temperatures. One such reaction is the oxidation of MoO2 to molybdenum trioxide (MoO3) in the presence of air or oxygen[3, 4]:
2MoO2 + O2 → 2MoO3
This oxidation reaction is relevant in high-temperature applications where the stability of MoO2-based materials is crucial. The formation of MoO3 can lead to changes in the physical and chemical properties of the material, such as its electrical conductivity and catalytic activity[3, 4].
Electrochemical Reduction of CO2
Molybdenum dioxide has shown promise as an electrocatalyst for the reduction of carbon dioxide (CO2). When MoO2 films are deposited on conductive substrates and used as electrodes, they exhibit catalytic activity towards the electrochemical reduction of CO2 to valuable products like formate[5, 6]. The proposed reaction mechanism involves the adsorption of CO2 on the MoO2 surface, followed by electron transfer and proton-coupled reactions[5, 6].
The ability of MoO2 to catalyze CO2 reduction is attributed to its unique electronic structure and the presence of active sites on its surface[5]. This reaction holds great potential for the sustainable conversion of CO2 into useful chemicals and fuels, contributing to the mitigation of greenhouse gas emissions[6].
Formation of Mixed-Oxide Systems
Molybdenum dioxide can interact with other metal oxides to form mixed-oxide systems with interesting properties. For example, MoO2-Fe2O3 (molybdenum dioxide-hematite) nanoparticle systems have been synthesized through mechanochemical activation[7, 8]. These mixed-oxide systems exhibit unique magnetic properties, such as unidirectional magnetic anisotropy, which can be exploited in various applications[7, 8].
The formation of mixed-oxide systems involving MoO2 can lead to synergistic effects and enhanced properties compared to the individual components. The interaction between MoO2 and other metal oxides can modify the electronic structure, surface chemistry, and catalytic activity of the resulting material[7, 8].
References
- Zoller, M., M. O’Sullivan, and H. Huppertz, On the Reduction of MoO(3) to MoO(2) : A Path to Control the Particle Size and Morphology.Chemistry, 2021. 27(72): p. 18141-18149.
- Gadiyar, H.S. and J. Balachandra, VAPOUR PHASE DEPOSITION OF MOLYBDENUM ON URANIUM DIOXIDE PARTICLES USING FLUIDIZED BED TECHNIQUE.Transactions of The Indian Institute of Metals, 1962.
- Manea, A. and A.V. Moholkara. Palladium (Pd) sensitized molybdenum trioxide (MoO 3 ) nanobelts for nitrogen dioxide (NO 2 ) gas detection. 2021.
- Zhang, C., et al., Atomic Layers of MoO(2) with Exposed High-Energy (010) Facets for Efficient Oxygen Reduction.Small, 2018. 14(13): p. e1703960.
- Asadi, M., et al., Robust carbon dioxide reduction on molybdenum disulphide edges.Nat Commun, 2014. 5: p. 4470.
- Maia, L.B., et al., Reduction of Carbon Dioxide by a Molybdenum-Containing Formate Dehydrogenase: A Kinetic and Mechanistic Study.J Am Chem Soc, 2016. 138(28): p. 8834-46.
- Kostomarov, D.V., V.A.y. Fedorov, and E.V. Antonov, Mechanisms of Interaction of Molybdenum and Tungsten Polyoxide with Aluminum Oxide Melt under Reducing Conditions.Crystallography Reports, 2018. 63: p. 682-688.
- Kostomarov, D.V., V.A.y. Fedorov, and E.V. Antonov, Mechanisms of Interaction of Molybdenum and Tungsten Polyoxide with Aluminum Oxide Melt under Reducing Conditions.Crystallography Reports, 2018. 63: p. 682 – 688.
Molybdenum Electrode Bars Applications
Molybdenum electrode bars are commonly used in various industrial applications, particularly in the field of high-temperature and high-pressure environments. Here are some common uses of molybdenum electrode bars:
1. Glass industry: Molybdenum electrode bars are used in the glass industry for the production of glass melting electrodes. These electrodes are typically employed in the manufacturing of fiberglass, container glass, and other types of specialty glass. Molybdenum‘s high melting point and excellent thermal and electrical conductivity make it suitable for this application.
2. Electric discharge machining (EDM): Molybdenum electrode bars are utilized as electrodes in EDM, a machining process that uses electrical discharges to shape or drill materials. Molybdenum electrodes offer high resistance to heat and wear, making them effective for EDM applications that involve hard materials or require intricate and precise machining.
3. Furnace heating elements: Molybdenum electrode bars find application in high-temperature furnaces as heating elements. These electrodes can withstand extremely high temperatures and maintain their structural integrity, making them ideal for use in vacuum or controlled-atmosphere furnaces, sintering processes, and other heat-treating applications.
4. Resistance welding: Molybdenum electrodes are employed in resistance welding, where they serve as contact tips or facing materials. Resistance welding is commonly used in automotive and aerospace industries for joining metal components. Molybdenum electrodes, due to their high electrical conductivity and resistance to heat and deformation, provide reliable and long-lasting contact points.
5. Ion implantation: Molybdenum electrode bars are used in ion implantation systems, a process employed in semiconductor manufacturing. Ion implantation involves bombarding a material with high-energy ions to alter its electrical properties. Molybdenum electrodes are used as the cathodes or anodes in these systems, providing a stable electrical connection and resistance to heat and corrosion.
What is Wrought Molybdenum Metal Bar?
Wrought molybdenum metal bar refers to a solid, cylindrical form of molybdenum that has been processed through a shaping and deformation process known as wrought fabrication. Molybdenum (symbol Mo) is a refractory metal with a high melting point and excellent mechanical and thermal properties. It is commonly used in various industries, including aerospace, defense, electronics, and energy.
Wrought fabrication involves subjecting molybdenum to high temperatures and mechanical deformation, such as rolling, forging, or extrusion, to shape it into a bar form. This process enhances the material’s mechanical strength, ductility, and uniformity. The resulting molybdenum bar exhibits improved grain structure and enhanced properties compared to cast molybdenum.
Molybdenum bars are available in different sizes and grades to meet specific application requirements. They can be further processed into various components, such as sheets, plates, rods, wires, and other forms. These bars are often utilized in applications where high-temperature strength, corrosion resistance, and excellent thermal conductivity are crucial, such as in furnace components, electrical contacts, rocket nozzles, and high-temperature heating elements.
Vanadium Pentoxide Catalyst
Vanadium pentoxide (V2O5) is a commonly used catalyst in various chemical reactions. It has a yellow-orange appearance and is known for its high catalytic activity and stability. Here are some important points to know about the vanadium pentoxide catalyst:
1. Oxidation reactions: Vanadium pentoxide is widely used as a catalyst in oxidation reactions. It can facilitate the conversion of various organic compounds into their corresponding oxidized products. For example, it is employed in the production of sulfuric acid, where it catalyzes the oxidation of sulfur dioxide (SO2) to sulfur trioxide (SO3).
2. Contact process: In the contact process for sulfuric acid production, vanadium pentoxide is a crucial catalyst. It is used in the oxidation of sulfur dioxide to sulfur trioxide, which is later used to produce sulfuric acid. The vanadium pentoxide catalyst operates at elevated temperatures and optimizes the conversion of sulfur dioxide to sulfur trioxide.
3. Selective oxidation reactions: Vanadium pentoxide catalysts are also employed in selective oxidation reactions. They can selectively convert specific reactants into desired products while minimizing unwanted side reactions. One example is the selective oxidation of alcohols to aldehydes or ketones.
4. Ammoxidation reactions: Vanadium pentoxide catalysts are used in ammoxidation processes, where ammonia is converted into various nitrogen-containing compounds. This includes the production of adiponitrile, a precursor for nylon-6,6, through the ammoxidation of 1,3-butadiene.
5. Other applications: Vanadium pentoxide finds applications in other processes as well. It is used in the synthesis of phthalic anhydride, which is a precursor for plasticizers and resins. It can also be employed in the oxidation of hydrocarbons and the removal of organic sulfur compounds from petroleum products.
